Généralités
Etudions le cas de deux variables.
On considère la fonction f:(x,y) → f(x,y).
f admet un maximum au point P(a, b) lorsque pour tout point M(x, y); f(x, y) est inférieure ou égale à f(a, b)
Condition nécessaire d'extrémum
Il est nécessaire que:
![]()
On obtient les points critiques.
Condition suffisante

faire une étude approfondie utilisant le développement de Taylor à plusieurs variables.
Situation où il y'a une contrainte sur les variables
On peut étudier les extrema de f sur une région du plan soumise à la contrainte φ(x,y)=0.
Dans ce cas on forme l'équation de Lagrange:

Pour les conditions suffisantes

Si d2F < 0, alors on a un maximum.
Si d2F > 0, alors on a un minimum.
On pourrait aussi poser:
![]()
Si A1C1-B12>0 alors on aura:
- Maximum pour A1<0 (où C<0)
- Minimum pour A1>0 (où C>0)
De façon analogue on pourrait étudier le cas de trois variables, celui-ci requiert des calculs plus délicats dans le cas de contraintes sur les variables.
Exemple 1:
f(x, y) = x3+3xy2-15x-12y
Exemple 2:
f(x, y) = 6-4x-3y avec M(x, y) appartenant au cercle trigonométrique.
Cas d'extrema sur un domaine fermé borné connexe de R2 et convexe
(D) = domaine fermé borné connexe de R2 et convexe.
Si f est de classe C1 sur (D) alors f est bornée sur (D) et atteint ses bornes au bord de (D).
Exemple:
f(x, y) = x2+y2-xy+x+y sur le domaine
![]()
- Trouvez les points stationnaires
- Etudiez la fonction sur la frontière de (D)
- Conclure
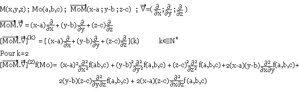
Formule de Taylor
Nous allons donner la formule pour le cas d'une fonction à 3 variables.
f est une fonction scalaire de variable x, y, z.

La formule de Taylor est donc:

Posons (a, b, c) = (0, 0, 0) ; M0 = O(0, 0, 0)
h=MM0=(x, y, z), on aura alors la formule de Taylor Maclaurin.
Exemple 1:
Ecrire la formule de Taylor Maclaurin d'ordre 2 pour f(x, y)=-2exSiny
Exemple 2:
Ecrire la formule de Taylor Maclaurin d'ordre 2 pour g(x, y, z)=x3-2xyz2-4x2yz+7x
Exemple 3:
Ecrire la formule de Taylor au voisinage du point A(1;-1) d'ordre 2 pour h(x, y)=2x2Cosx+e-xy