La modulation de fréquence
Définition d'un signal modulé en fréquence
Moduler en fréquence consiste à faire varier la fréquence d'émission HF selon la modulation BF.
Soit p(t), la porteuse de pulsation ω0 et s(t) le signal modulant de pulsation ω, avec: p(t)=PmCosω0t ; s(t)=SmCosωt
La pulsation instantanée due au signal modulé s'écrit:

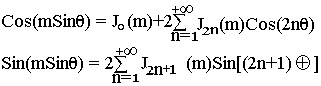
Spectre d'un signal modulé en fréquence
pm(t) = PmCosω0t.Cos(nSinωt) - PmSinω0t.Sin(nSinωt)

Jm: fonction de Bessel de première espèce
A=PmCosω0tJ0(n)+2PmCosω0t.J2(n)Cos2ωt+2PmCosω0t.J4(n)Cos4ωt
+2PmCosω0t.J6(n)Cos6ωt
B=2PmSinω0t.J3(n)Sin3ωt+2PmSinω0t.J5(n)Sin5ωt+2PmSinω0t+J7(n)Sin7ωt
A-B=PmJ0(n)Cosω0t+2PmJ2(n)Cosω0tCos2ωt-PmJ3(n)Sinω0tSin3ωt
+2PmJ4(n)Cosω0tCos4ωt-2PmJ5(n)Sinω0tSin5ωt
=PmJ0(n)Cosω0t-PmJ1(n)Cos(ω0-ω)t+PmJ1(n)Cos(ω0+ω)t+PmJ2(n)Cos(ω0-2ω)t
+PmJ2(n)Cos(ω0+2ω)t-PmJ3(ω0-3ω)t+PmJ3(n)Cos(ω0+3ω)t+PmJ4(n)Cos(ω0-4ω)t
-PmJ5(n)Cos(ω0+4ω)t-PmJ5(n)Cos(ω0-5ω)t+PmJ5(n)Cos(ω0+5ω)t
Le spectre du signal modulé présente une infinité de raie d'abscisse ω0; ω0+ωh; ω02ωh... ω0+kω; ω0-1ωh; ω0-2ωh... ω0-kωk

La largeur de bande occupée par une onde modulée en fréquence est:
BW = NN.fh
NH: nombre d'harmonie
Encombrement spectral: règle de CARSON.
La bande passante nécessaire pour transmettre un signal FM est Bω2F(1+n)
Largeur du canal d'émission:

Modulation symétrique
Supprimer la porteuse: 2 bande latérales

Largeur du canal d'émission : LCE
LCE = 2BG