Cas d'une excitation sinusoïdale sur une ligne sans perte (ω>>0)
V(t) = VSCosωt = ReVSejωt (23) avec Re=réel
Nous allons supposer que les effets transitoires se sont estompés, nous avons en notation complexe

On peut définir le cœfficient de réflexion complexe qui est:
Si nous voulons calculer l'impédance d'entrée en connaissant V(Z) et I(Z), on aura:
![]()
Si nous voulons l'impédance de sortie:

On peut remarquer l'analogie entre l'onde plan en indice normale et la propagation en onde guidée d'une onde TEM.
SI on remplace le rapport V-(Z)/V+(Z) par
![]()
Le cœfficient de réflexion en tout point de la ligne peut être calculé en fonction du cœfficient de réflexion aux bornes de la charge, lesquels peuvent accorder à la relation suivante.
RC : impédance caractéristique de la ligne.
![]()
![]()
La relation (35) permet de déduire plusieurs résultats, d'abord le calcul de l'impédance lorsque la ligne est court-circuitée.
ZL=0 ; Zin(0)=jRCtg(BL)
Ceci produit un déphasage.

Quand une ligne est en court circuit elle devient capacitive.

On peut tout de suit remarquer le comportement inductif ou capacitif de la ligne suivante que celle-ci estompe ligne ouverte ou en court-circuit.
Il y'a une relation entre RC d'une part et Zin(0) à Zl tendant vers l'infini d'autre part.
![]()
Si on désigne par Xin les impédances d'ordre réactif, on obtient les diagrammes suivants en fonction de la longueur de la ligne.

- On note que pour les lignes de longueur 2KX/4 lorsqu'elles sont tenues par le court-circuit, les impédances d'entrée apparaisse,t comme les lignes ouvertes, par contre lorsqu'elles sont chargées par les impédances infinies, les impédances d'entrée apparaissent comme le court-circuit.
- L'inverse du phénomène ci-dessus apparaissent lorsque les lignes ont les longueurs
On peut également observer que l'impédance d'entrée se reproduit identique à elle-même lorsque
![]()
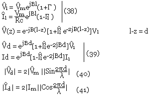
Courant et tension tout le long de la ligne

Si nous prenons la valeur absolue de Id et VZ

Dans la pratique, il faut toujours charger une ligne de transmission pour éviter la destruction du générateur. Si au contraire nous avons:

Si la ligne est chargée ZC nous retrouvons:
![]()
Si Zl=RC le cœfficient de réflexion égal 0: il y'a pas de réflexion donc la ligne est adaptée. Il y'a pas de variation de courant ni de tension tout le long de la ligne.
Les expressions de Vd et Id exprimé en fonction du coefficient de réflexion peuvent être représentés en fonction de d (distance) sur un diagramme de CRANK, en considérant le même vecteur.
