Page 2 sur 2
Les fonctions x → f(x-a) et x → f(x)+b
Soit M un point de Cf m'(x; f(x-a)) est l'image de M(x-a;f(x-a)) par translation de vecteur aox

La courbe C' de x associe x→ f(x-a) se déduit de Cf par translation du vecteur aoi
Le point M''(x;f(x)+b) est l'image de M(x;f(x)) par translation de vecteur boj

La courbe C'' de x→ f(x) +b se déduit par translation de vecteur boj. D'une manière générale, la courbe de x→ f(x-a) se déduit de celle de f par translation de vecteur U(a; b)
Remarque:

Exemple:
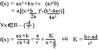
Tracez la courbe de f(x)=-3x2 et en déduire celle de g(x)=-3x2+2x+1
Solution:
