Intégrales de fonctions complexes et théorème des résidus

Index de l'article

Série de Laurent

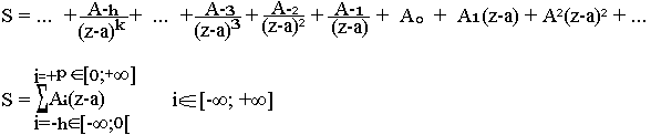
Soit ƒ(Z) une fonction de classe en sur un voisinage de a appartenant à C, considérons les deux séries suivantes:

110

Considérons la série obtenue en faisant la somme des séries (1) et (2) lorsque toutes les deux sont convergentes on obtient:

111
S est une série convergente dont le domaine de convergence est:

112

113
D: couronne de centre a et de rayon r et R
(S) est appelée série de Laurent de ƒ(z)

Calcul des coefficients de S2

On montre que:

114

Vocabulaire

La série (1) est appelée partie principale de la SoL.

  • La série (2) est appelée partie régulière de la SoL.
  • Si la partie principale de la SoL contient m termes, alors on dit que z=a est un pôle d'ordre m
  • Si la partie principale de la SoL contient une infinité de termes alors on dit que z est inférieure ou égale à a est un point singulier essentiel.

Applications

Développer en série Laurent ƒ(z)=1/(z-1)(z-3) suivant les suivants les puissances de z dans la couronne 1<|z|<3

Indication:

Si |h|<1 alors 1/(1-h) = 1+h+h2+h3+...

115