Nature du courant électrique
On appelle courant électrique un mouvement d'ensemble de charge libre dans un milieu. D'après cette définition il ne peut avoir du courant électrique dans un milieu qua dans un milieu si celui-ci renferme des charges libres c'est-à-dire susceptibles de se mettre en mouvement. Lorsqu'il existe des charges libres dans un milieu, un champ électrique même de faible intensité peut les mettre en mouvement. Un tel milieu peut être soit un conducteur conventionnel (métaux et alliage), soit un semi-conducteur, soit encore un électrolyte des gaz ionisés ou même dans le voisinage de la cathode, dans le cas de l'effet thermoélectrique. Dans le cas d'un électrolyte le courant électrique est dû au double mouvement des ions positif négatifs. Les ions de plus faible masse se déplacent dans l'électrolyte plus rapide que les autres, exemple: la pile Daniel.
Production du courant électrique
Si à l'aide d'un fil conducteur, on relie deux conducteurs A et B donc les potentiels initiaux sont différents. Des charges électriques passent du conducteur du plus grand potentiel à celui de faible potentiel. Le mouvement cesse dès que l'équilibre électrostatique est atteint. Le courant électrique produit est dit transitoire c'est-à-dire de très faible durée. Pour obtenir le courant électrique qui circule le plus longtemps, les conducteurs A et B doivent être reliés à une source qui maintient leur potentiel différent (générateur électrique).
Intensité du courant électrique: densité de courant
Intensité du courant électrique
Le courant électrique étant par définition un mouvement de charge électrique. On peut caractériser le courant par la charge qui traverse une surface ds du milieu conducteur.
Soit dq la charge qui traverse une surface du milieu conducteur pendant le temps dt. On appelle intensité du courant électrique à travers la surface, le rapport di=dq/dt. L'unité est l'ampère.
Vecteur densité de courant
Cherchons la charge dq traversant un élément de surface ds dans le milieu conducteur pendant le temps dt. On remarque que ces charges animées de la vitesse V lorsqu'elles atteignent ds à l'instant t, se trouve à l'instant t+dt, à l'intérieur du cylindre de base ds et de générateur Vdt.

On constate que la charge qui traverse la surface ainsi que l'intensité du courant à travers cette surface s'exprime simplement à l'aide du flux du vecteur J=ÞV.
J est appelé vecteur densité du courant
![]()
On ne déduit la charge qui traverse une surface finie S dans le milieu conducteur pendant dt

L'intensité à travers la surface S est

L'unité de la densité est A/m2
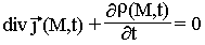
La densité volumique de charge Þ(M; t) des porteurs mobiles et le vecteur densité J(M,t) du courant correspondant sont liais par la loi de conservation de l'électricité. En un point M à la date t.
![]()
Dans un régime permanant (ou stationnaire), ou encore (statique), toutes les grandeurs caractéristiques du courant sont indépendant du temps, c'est-à-dire J=J(M) et Þ=Þ(M), par suite i est constant à tout instant le courant est continu, dans ces conditions divJ(M)=0.
Définitions
- Ligne de courant: C'est une ligne en tout point de laquelle le vecteur J est tangent à la ligne au courant au point M:

- Tube de courant: C'est un ensemble de ligne courant s'appuyant sur un même contour ferlé.

Compte tenu du théorème de GREEN HISTROVASKI, la conservation du flux de J implique l'intensité du courant est la même dans toute section droite du tube de courant.
