Généralités
On entend par quadripôle un système fonctionnant avec une entrée servant d'alimentation et une sortie servant de charge, de ce fait on aura deux entrées et deux sorties du point de vue câblage. De plus c'est aussi un dispositif de liaison qui assure la transmission ou la transformation d'une information. Deux cas peuvent se présenter:
- Si le quadripôle échange l'énergie avec l'extérieur il sera dit passif.
- Dans le cas contraire il sera dit actif.

Modèle équivalent
Modèle de Norton

Modèle de Thevenin

Du point de vue transistor
![]()
Du point de vue général
Ze=Ve/ie (Si VS=0) Impédance d'entrée
ZS=VS/iS (Si ie=0) Impédance de sortie (Norton).
ZS=VS/iS (Ve=0) Impédance de sortie (Thevenin).
Av=VS/Ve Amplitude en tension
Ai=iS/ie Amplitude en courant
AP=PL/Pe=Av.Ai Amplification en puissance
Remarques:
PL Représente la puissance absorbée par la charge tandis que Pe est la puissance fournie par le générateur. Ceci à l'entrée du quadripôle.
On peut déterminer les différents gains exprimés en décibel de la manière suivante.
Gv(dB) = 20Log|Av|
Gi(dB) = 20Log|Ai|
Gp(dB) = 10Log|Ap|
Fonction de transfert d'un Quadripôle
La fonction de transfert est aussi appelée la transmitance et est notée U ou T, c'est le rapport de la grandeur de sortie sur la grandeur d'entrée

Diagramme de Bode
On entend par diagramme Bode un ensemble de deux courbes qui permettent de comprendre le comportement de quadripôle sur une plage étendue de fréquence.
- La courbe représentant les variations du gain en fonction de la fréquence G=50Log|T|
NB: On peut aussi présenter en fonction des pulsations - La courbe représentant les variations de l'argument þ=arctg(b/a)
Calcul du logarithme décimal
On doit connaître les valeurs remarquables du logarithme décimal. Elle sont dénombrées par ordre d'importance suivant la représentation ci-dessous
Log(a+b) = Loga + Logb
Loga/b = Loga - Logb
Logan = nLoga
Log1/b = Log1 - Logb = -Logb
Remarques:
- Dans la pratique si Gv(dB)=0 h=T=1 d'où le quadripôle est dit adaptateur d'impédance
- Si GV(dB)<0 ; H<1 ou T<1 Le quadripôle dit atténuateur d'information.
- Si GV(dB)>0 ; H>1 ou T>1 Le quadripôle est dit applicateur d'information
Notion de la bande passante
La bande passante pour un amplificateur est l'intervalle dans lequel la transmission de puissance dans lequel la transmission de puissance est maximale d'où le gain est maximale dans cet intervalle et il est appelé G0. Cependant la bande passante à -3dB est l'intervalle dans lequel le gain maximal G0 est diminué de -3dB ou GV=G0=-3dB. De ce fait les deux fréquences limites sont appelés fréquence de coupure inférieur et fréquence de coupure supérieure

Détermination du gain à -3db
A partir de la figure de la bande passante, on peut déterminer le gain à -3dB en identifiant les fréquences fci et fcs. De ce fait si I est la transmitance d'un quadripôle T0 sa valeur maximale, on aura donc le gain G=20Log|T| et G0=20Log|T0|. Par ailleurs dans l'intervalle B la condition de déterminer le gain à -3dB

On remarque bien que la diminution du gain à -3dB correspond à une atténuation du module de la fonction de transfert par rapport à sa valeur maximale T0. De plus la condition (10) permet également de déterminer les fréquences de coupure à -3dB en résolvant les équations ci-dessous
aX4 + bX2 + c = 0
a'X2 + b'X + d = 0
Pour cela on pose X2=x ; X4=x2
Facteur de mérite
Il est noté M est représente le produit de la bande passante et de la valeur maximale de la fonction de transfert M=B.T0
Quadripôle adaptateur d'impédance
Problématique
Soit un générateur G de caractéristique E et RG fonctionnant en régime sinusoïdal de fréquence f0 et de pulsation ω0. Ce dernier alimente une charge purement ohmique de résistance RL. Pour qu'il y ait une bonne adaptation d'impédance, on peut interposer entre le générateur et la charge un quadripôle Q qui va transférer la puissance maximale en sortie d'où les conditions suivantes
ZL = RL (1)
RL différent de RG (2)
Pmax = E2/4RG (3)
Synoptique

Adaptateur d'impédance par réseau LC

e = Emax.Sin(ωt+Þ)
- Déterminer la condition d'adaptation d'impédance
- Choix des composants
En se rappelant des 3 conditions ci-dessous, on peut déterminer les éléments suivant:
Pmax = E2/4RG

Pour choisir la valeur des composants, on fixera la fréquence f. Exemple: f=3500Hz.

Détermination des asymptotes aux courbes
Problématique
La recherche des asymptotes aux courbes permet de déterminer l'allure des courbes de gain et de phase d'un amplificateur ou d'un quadripôle.
Exemple de tracé des asymptotes
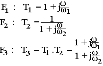
Soit trois filtres F1; F2; F3 de transmitance

Soit à déterminer l'asymptote de la fonction de transfert T2 pour cela par passage au gain

De ce fait il faut déterminer la pente, pour cela on peut considérer que ω=10ω2 ou plus et par passage donc logarithmique, on aura:

Par passage au gain
GV2 = 20Log(1/RCω) = 20Log1 - 20Log(RCω) = -20Log(RCω)
A partir donc de cette expression, on remplace ω par 10ω1 l'expression devient
-20Log(RC10ω1) = -2Log10 - 20Log(RCω1) = -20dB - 20Log(RCω1)
A partir de cette expression on remarque que le gain GV2 a pour variation DGV2 et la pente de l'asymptote oblige est de -20dB/décade ceci représente un filtre de premier ordre.
Remarque:
Si on considère plutôt ω=2ω2 alors par détermination on aura une pente de -6dB/octave. De même on peut considérer ω=100ω2 le résultat du point de ce tracé sera identique de 10ω0
Diagramme de Bode

On peut tracer facilement les diagramme de Bode en se referant différentes formes remarquables T0, T1, T2, T3, T'3, T'2. Dans ce cas on construit intervalle par intervalle en tenant compte des pulsations de coupure ω0, ω1, ω2, ω3, ω4