Elément d'analyse combinatoire
Considérons un ensemble de n éléments différents, un échantillon aléatoire a1, a2, ... an de ces éléments seront appelés groupement.
Par exemple: Lorsqu'on jette une pièce de monnaie 10 fois, sa tombée du côté face (F) et du côté pille (P) peut donner le groupement suivant: FFFPPFPPP
Binôme de NEWTON
![]()
Loi binomiale : épreuve de BERNOUILLI
Si on effectue N épreuves indépendantes et si la probabilité de réalisation d'un événement A(succès) dans chacun de ces épreuves est invariable, égale à P. Alors la probabilité d'apparition n fois de l'événement A(en succès) dans ces m épreuves est donnée par la formule de BERNOULLI.
BN[m,p] = PN(m) = P(X=m)
CmNPmqN-m
Avec m: nombre de succès
P: probabilité de succès
N: nombre d'épreuve.
q=1-p est la probabilité d'un échec.
Exercice:
Une urne contient 30 boules: 20 blanches et 10 noires: L'expérience est la suivante:
On tire 4 boules suite (avec remise et brassage)
- Quelle est la probabilité pour que deux boules soient blanches?
- Quelle est la probabilité pour qu'au moins une boule tirée soit blanche?
Résolution:

- Soit Ai l'événement "obtenir i boules blanches en 4 épreuves"
Soit E l'événement "obtenir au moins 1 boule blanche en 4 épreuves"
Prob(E) = Prob(A1)+Prob(A2)+Prob(A3)+Prob(A4)
Prob(A1) = C14p1q3 = (4)(2/3)1(1/3)3
Prob(A2) = C24p2q2 = (6)(2/3)2(1/3)3(1/3)2
Prob(A3) = C34p3q1 = (4)(2/3)3(1/3)1
Prob(A4) = C44P4
Prob(E) = 8/81 + 24/81 + 32/81 + 16/81 = 80/81
Autre méthode:
E (contraire de E) "Obtenir 0 boule en 4 épreuves"
P(E) = 1 - P(E)
P(E) = 1 - P(E)
Calculons P(EU) = 1 - P(E)
P(E) = 1 - P(E)
Calculons P(E) = B4(0;2/3) = C04p0q4
P(E) = (1)(1/3)4 = 1/81
P(E) = 1 - 1/81
P(E) = 80/81
Quel est le nombre d'apparition de la boule blanche dans une épreuve?
Nombre le plus favorisé
On définit le nombre le plus favorisé m0 d'apparition d'un "succès" au bout de N épreuves. Ce nombre m vérifie
A la suite des observations entreprises pendant une période de temps prolongée, on a constaté que la probabilité que la pluie tombe dans une certaine ville est de 1/7.
Déterminez le nombre le plus favorisé le jour pluvieux le premier Octobre dans la ville donnée au cours de 40ans.
N=40 ; p=1/7 ; q=1-1/7=6/7
Résolution:
Epreuve répétable avec N assez grand
Théorie de LAPLACE Local
Si le nombre d'épreuve N est grand, les calculs d'après la formule de BERNOIDE deviennent difficiles à réaliser. Le mathématicien LAPLACE a obtenu une formule approchée importante qui permet de calculer la probabilité BN(m,p) pour qu'un événement A se réalise exactement m fois lorsque N est suffisamment grand.
Probabilité de m succès au cours de N épreuves (N>>1)
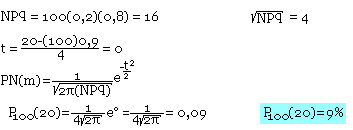
Exercice:
La probabilité pour qu'un tireur atteigne le but en tirant un seul coup est P=0,2.
Quel est la probabilité pour que le but soit atteint 20 fois en 100 coups?
Résolution:
m=20 ; p=0,2 ; q=0,8 ; N=100
Evénement accident loi de POISSON
Supons qu'on effectue N épreuves successives indépendante que la probabilité p de la réalisation d'un événement donné au cours de ces m épreuves dépendent de N.
Nous allons supposer par la suite que P⟶0 lorsque t tend vers l'infini (événement rare et accidentel).
Si de plus dans chaque série, la valeur moyenne µ du nombre de répétition de l'événement est constant, on pose µ=N.P=constante.

Exercice:
Un central téléphonique automatique reçoit 300 appels par heure:
- Quelle est la probabilité que durant une minute donnée il reçoit exactement deux appels?
- Quelle est la probabilité qu'en une journée de 24h il reçoit exactement 10000 appels
Résolution:
- µ: moyenne des appels par minute de temps.
300appel/1heure = 5appels/1minutes = µ
m=2
PN(2,9) = 52e-5/2! = (25)(0,0067)/2! = 0,084
PN(2,p) = 0,084 = 8,4% - m = 10000
300 ⟶ 1h
? ⟶ 24h
µ = 300 x 24 = 7200
PN(10000,P) = 720010000e-7200/10000!
Exercice:
Un livre de 1000 pages contient 100 erreurs:
- Quelle est la probabilité de trouver exactement 3 erreurs sur 1 page au hasard?
- Quelle est la probabilité de trouver au moins 4 erreurs sur 1 page ouverte au hasard?
Résolution:
µ=0,1S/p ; m=3
PN=(3,p) = 0,13e-0,1/3! = 0,015%
PN(3,7) = 0,015%
- Soi E l'événement "au moins 4 erreurs su 1 page" et P(E) sa probabilité.
E = "au plus 3 erreurs sur une page"
E = "0 erreur/page" ou "1 erreur/page" ou "2erreures/page" ou "3erreures/page"
P(E) = 1 - P(E)
P(E) = 1 - P(E)
P(E) = 3,846%