Equation et inéquation du 2nd degré

Index de l'article


Equation du 2nd degré

On appelle équation du 2nd degré à une inconnue, toutes écriture pouvant se ramener sous la forme ax2+bx+c=0 où a est un nombre réel non nul, b et c les nombres réels quelconque.
Exemple: x2 + 2x + 1 = 0
-x2 + 2x - 1 = 3
4x2 - 9 = 0.

Discriminant:

Soit (E) l'équation du 2nd degré ax2+bx+c=0
On appelle discriminant de l'équation (E) le nombre réel noté Δ(Delta) et défini par Δ=b2-4ac

Exemple:

  • x2 + 2x + 1 = 0
    a=1 b=2 c=1
    Δ1 = b2 - 4ac = 22 - 4(1)(1) = 0
  • 2x2 + 4x - 2 = 0
    Δ2 = 42 - 4(2)(-2) = 16 + 16 = 32
  • -x2 + x - 2 = 0
    Δ3 = 12 - 4(-1)(-2) = 1 - 8 = -7

Résolution:

Pour résoudre une équation ax2+bx+c=0. On calcul d'abord le discriminant Δ=b2-4ac
Trois cas sont possibles Δ>0; Δ=0; Δ<0

  • Δ>0 l'équation admet 2 solutions distinctes
17
  • Δ=0 l'équation admet une racine double x1=x2=-b/2a
  • Δ<0 . Si Δ<0 pas de solution, pas de racine.

Exemple:

Résous dans R chacune des équations suivantes.

  • 2x2 + 5x - 3 = 0
  • 4x2 - 12x + 9 = 0
  • -x2 + x - 2 = 0

Solutions:

18



Factorisation des polynômes du 2nd degré de la forme ax2+bx+c

Polynôme ax2+bx+c

Δ>0

Δ=0

Δ<0

Solutions

x1 et x2

x0

Pas de solution

Forme factorisée

a(x-x1)(x-x2)

a(x-x0)2

Pas de forme factorisée.

Exemple:

Factorisez:

  • f(x) = 2x2-4x-30
  • g(x) = 4x2-4x+1
  • h(x) = x2+3x+5

 


Somme et produit des racines

Rappel: L'équation ax2+bx+c=0 admet 2 racines x1 et x2 lorsque Δ>0
Notons S=x1+x2 la somme des racines et P=x1.x2 leur produit.

19
Calcul de la somme S et le produit P des racines lorsqu'elles existent.
x2 - 2x - =0
5x2 + x + 1 = 0
x2 - 4x + 1 = 0

Solutions:

x2 - 2x - 1 = 0
a = 1 ; b = 2 et c = -1
S= -b/a = -(-2)/1 = 2 et P = c/a = -1/1 = -1
x2 - 4x + 1 = 0
a = 1 ; b = -4 et c = 1
S = -b/a = -(-4)/1 = 4 et P = c/a = 1/1 = 1
5X2 + x + 1 = 0
a = 5 ; b = 1 et c = 1
les racines n'existent pas.



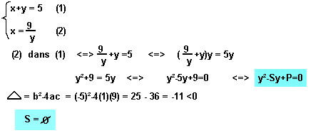
Recherche de deux nombres connaissant leur S et leur produit P

Résolvons le système ci-dessous

20
Le système somme produit des scalaires x+y=S et xy=P conduit à une équation du 2nd degré de la forme x2-Sx+P=0
Dans la résolution de cette équation on a 3 cas:

  • Si Δ=S2-4P<0 l'équation n'a pas de solution dont les nombres x et y n'existe pas.
  • Si Δ=S2-4P=0 ↔ S2=4P l'équation admet une racine double x=y=S/2. s= {(5/2; 5/2)} ↔ s= {(x; y)}
  • Si Δ>0 ↔ S2>4P l'équation admet 2 racines distinctes dont les 2 nombres x et y existent.

Exemple:

21


Résoudre une équation du 2nd sans calculer le discriminant

Exercice:

Résoudre dans R chacune des équations suivantes sans calculer le discriminant

a) x2 + 2x - 3 = 0

b) x2 - 3x + 2 = 0

c) x2 - 6x + 8 = 0

d) 3x2 + 2x - 1 = 0

Pour certaines équations, dès qu'on a une racine évidente, il suffit de calculer le produit ou la somme des racines pour avoir la 2e racine.
a) x2 + 2x - 3 = 0
1 + 2 - 3 = 0
x1 = 1 est une racine évidente
S = x1 + x2 = -2
↔ 1 + x2 = -2
↔ x2 = -3

b) x2 - 3x + 2 = 0
Une racine évidente est x1=1. La somme S des racines est S=x1+x2=-b/a
S = 1 + x2 = -3/1
↔ x2 = 3 - 1
↔ x2 = 2
On peut utiliser le produit P=x1x2=c/a
Soit 1x2 = 2
↔ x2 = 2

c) 3x2 + 2x - 1 = 0
Une racine évidente est x1=-1. On peut utiliser la division euclidienne pour obtenir l'autre racine et la forme factorisée du polynôme 3x2+2x-1

22



Signe des racines d'une équation du 2nd degré

Soit ax2 + bx + c = 0 une équation du 2nd admettant des racines réelles. Sans calculer ces racines, il est possible de connaître leur signe uniquement à partir de sa somme S=-b/a et produit P=c/a

  • Si le produit P est négatif les cœfficients a et c sont des signes contraires et l'équation admet 2 racines de signe contraire.
  • Si le produit P est nul, on a c=0 et l'équation s'écrit:
    ax2 + bx = 0
    ↔ x (ax + b) = 0
    ↔ x= 0 ou x = -b/a
    Le signe des racines est celui de -b/a.
  • Si le produit P est strictement positif, les cœfficients a et c sont de même signe et 2 racines sont de même signe et ce signe est celui de leur somme S

23



Equations bicarrées

Exemple:

Résous dans R les équations suivantes:
1) x4-2x2-1=0
2) x4-4x2+1=0
3) 2x4+x2+1=0

Solution:

24



Inéquation du 2nd degré à une inconnue

On appelle inéquation du 2nd degré à une inconnue toute écriture pouvant se ramener sous l'une des formes suivantes:

25

Résolution:

Pour résoudre une inéquation du 2nd degré à une inconnue, on étudie d'abord le signe du polynôme ax2+bx+c. Cette étude découle de la résolution de l'équation ax2+bx+c=0

  • Si l'équation ax2+bx+c=0 n'a pas de solution, le polynôme ax2+bx+c est du signe de a sur R
  • Si cette équation admet une racine double x'=x''=-b/2a le polynôme est encore du signe de a car il peut s'écrire a(x+x')2
  • Si l'équation ax2+bx+c=0 a pour racine distincte le polynôme ax2+bx+c est du signe de a à l'extérieur des racines et du signe contraire à l'intérieur.

Exemple:

Résoudre les inéquations différentes:

26



Système d'inéquation

Ce sont les systèmes pouvant se ramener sous la forme

27
La méthode de résolution consiste toujours à résoudre séparément chaque inéquation, de faire l'interception des solutions pour avoir la solution de tout le système.

Exemple:

Résoudre dans R
28